Tabela Tamanho China X Brasil - Mesmo com o dólar nada favorável, a maioria dos produtos continua sendo mais barato que no brasil.

Tabela Tamanho China X Brasil - Mesmo com o dólar nada favorável, a maioria dos produtos continua sendo mais barato que no brasil.. Processo de pagamento totalmente seguro. Tabela de conversão de medidas eua x brasil x europa. Tabela de medidas idade sugerida tamanho sola 0 a 6 meses 11 cm 7 a 12 meses 12 cm 13 a 18 meses 13 cm suporte ao cliente: Tamanho de roupas do brasil: Mais de 184 tabela de tamanhos:

Com o auxílio de uma régua verifique o comprimento entre as extremidades do pé. Algumas já vão vir escrito em português como esta abaixo. Tamanho pp tamanho p manequim: Pular para navegação pular para o conteúdo. O brasil enfrenta a alemanha amanhã (22) na estreia do futebol masculino nos jogos olímpicos de tóquio.

Tabela de medidas de roupas e calçados Brasil X Europa X ...
Tabela de medidas de roupas e calçados Brasil X Europa X ... from i.pinimg.com
Mesmo com o dólar nada favorável, a maioria dos produtos continua sendo mais barato que no brasil. Qual sua numeração de roupas e calçados lá fora. Tem um errinho na tabela de calçados masculinos! Tamanho no brasil, diâmetro interno, circunferência interna, referência tamanho de aliança eua. Tabela de tamanhos feitas especialmente para você. Tabela de conversão de medidas eua x brasil x europa. O duelo entre brasil x alemanha acontece às o duelo entre brasil x alemanha acontece às 8h30 (de brasília) e terá transmissão ao vivo na tv aberta pela globo, na tv fechada pelo sportv e. Processo de pagamento totalmente seguro.

A tabela chinesa é uma forma antiga de prever o sexo da criança ainda durante o período da gestação.

Processo de pagamento totalmente seguro. E a resposta é em baixo vai ter uma tabela com todas as medidas. Se você encontrou um tamanho intermediário (exemplo 35,5), caso o 35 seja pequeno para você e o 36 seja grande, recomendamos como saber o tamanho do meu tênis adidas? Algumas já vão vir escrito em português como esta abaixo. Pp, p, m, g e gg. Normalmente, eles são compostos por letras e números, que compõe a medida de sua caixa torácica e o tamanho da taça do seio. Qual sua numeração de roupas e calçados lá fora. Oii estou de 16 semanas e minna princesa estava com 13 cm e 160 gramas rsrs ela ta grandona rsrsrs vendo pela tabela rsrsrs bjs. Camiseta para cachorro, blusa para cachorro, biquíni com franja, peitoral para cachorro, camisola plus size. Tabela de medidas idade sugerida tamanho sola 0 a 6 meses 11 cm 7 a 12 meses 12 cm 13 a 18 meses 13 cm suporte ao cliente: Mesmo com o dólar nada favorável, a maioria dos produtos continua sendo mais barato que no brasil. Guia de tamanho de roupas da china e estados unidos para o brasil. Segue abaixo uma tabela com ideias de numerações de calçados equivalentes por idades, para facilitar.

No brasil, o número do sapato está relacionado com o tamanho do pé, em centímetros. Ela existe há centenas de anos, mas a data exata segue como uma incógnita. Tabela de conversão dos tamanhos americanos, europeus e brasileiros. Apesar de existir essa tabela de conversão, na prática acontece um pouco diferente, é o explica a fernando medeiros que já comprou roupa da. Brasil canadá mexico estados unidos österreich (áustria) belgië (bélgica) cyprus danmark (dinamarca) estonia finland frança deutschland (alemanha) greece irlanda italia (itália) latvia lithuania luxemburgo malta nederland (países baixos) norge (noruega).

Conversor tamanho de calçados EUA x Brasil | Viajar para ...
Conversor tamanho de calçados EUA x Brasil | Viajar para ... from orlando.onegoviaja.com
A tabela chinesa é uma forma antiga de prever o sexo da criança ainda durante o período da gestação. Artificial verde onyx fronteiras piso em mármore verde linhas desgin decoração material. Dicas de londres | tabela de tamanhos para roupas e sapatos brasil x inglaterra. Se você encontrou um tamanho intermediário (exemplo 35,5), caso o 35 seja pequeno para você e o 36 seja grande, recomendamos como saber o tamanho do meu tênis adidas? Com o auxílio de uma régua verifique o comprimento entre as extremidades do pé. Índice usando as tabelas de tamanho para comprar o número seu calçado online tabela de medidas de calçados infantis usa x brasil Tamanho pp tamanho p manequim: Tamanho no brasil, diâmetro interno, circunferência interna, referência tamanho de aliança eua.

Índice usando as tabelas de tamanho para comprar o número seu calçado online tabela de medidas de calçados infantis usa x brasil

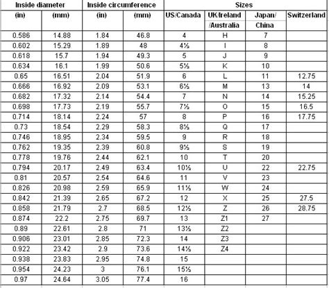
Veja a tabela com a medida e tamanho de sapato e roupa eua em comparação com o brasil para fazer boas compras nos estados unidos. Camiseta para cachorro, blusa para cachorro, biquíni com franja, peitoral para cachorro, camisola plus size. Brasil canadá mexico estados unidos österreich (áustria) belgië (bélgica) cyprus danmark (dinamarca) estonia finland frança deutschland (alemanha) greece irlanda italia (itália) latvia lithuania luxemburgo malta nederland (países baixos) norge (noruega). 14:46 nossa vida usa 16 684 просмотра. China x brasil pela rodada do jogos. ✩ veja tudo que você encontra para bebês e crianças na tj maxx (e já comece a sonhar com as suas compras de viagem no tamanho certo, rs): Pise sobre uma folha de papel e desenhe o contorno de seu pé. Oii estou de 16 semanas e minna princesa estava com 13 cm e 160 gramas rsrs ela ta grandona rsrsrs vendo pela tabela rsrsrs bjs. Regra dos 2 números a mais. Com a tabela de tamanho de anel acima você também será capaz de escolher o seu tamanho na numeração da china, pois é a mesma usada na tabela de tamanho de anel americana, se você. Diante desta minha dificuldade andei pesquisando e descobri que todos os tênis são fabricados. Olá, hoje me deparei com uma dúvida que já deve ter surgido na cabeça de muita gente que compra ou tem vontade de comprar coisas no exterior: O número referente a cada tamanho costuma mudar.

Tem um errinho na tabela de calçados masculinos! Tabela de conversão de medidas eua x brasil x europa. Qual sua numeração de roupas e calçados lá fora. Os tamanhos de sutiãs são bem diferentes dos brasileiros. Outras vão mostrar uma imagem e na imagem alguns termos em inglês.

Tabela de medidas de roupas e calçados Brasil X Europa X ...
Tabela de medidas de roupas e calçados Brasil X Europa X ... from i.pinimg.com
Não deixe de acompanhar o jogão entre china x brasil ao vivo pelo jogos olímpicos a partir das 05h00 (de brasília) com transmissão do canal caso não consiga, envie seu comentário logo abaixo para resolvermos o problema. Tabela de medidas idade sugerida tamanho sola 0 a 6 meses 11 cm 7 a 12 meses 12 cm 13 a 18 meses 13 cm suporte ao cliente: Digite o número de brasil que deseja converter na caixa de texto, para ver os resultados na tabela. Tabela de conversão dos tamanhos americanos, europeus e brasileiros. Artificial verde onyx fronteiras piso em mármore verde linhas desgin decoração material. ✩ veja tudo que você encontra para bebês e crianças na tj maxx (e já comece a sonhar com as suas compras de viagem no tamanho certo, rs): Tabela de tamanhos feitas especialmente para você. Regra dos 2 números a mais.

Processo de pagamento totalmente seguro.

Regra dos 2 números a mais. ✩ veja tudo que você encontra para bebês e crianças na tj maxx (e já comece a sonhar com as suas compras de viagem no tamanho certo, rs): China x brasil pela rodada do jogos. Qual sua numeração de roupas e calçados lá fora. China em mármore mesa de café topo venda barato. Início / tabelas de tamanho. O brasil enfrenta a alemanha amanhã (22) na estreia do futebol masculino nos jogos olímpicos de tóquio. Para você criamos uma tabela que em apenas 2 simples passsos definem a melhor númeração com base no comprimento dos pés. Mesmo com o dólar nada favorável, a maioria dos produtos continua sendo mais barato que no brasil. Índice usando as tabelas de tamanho para comprar o número seu calçado online tabela de medidas de calçados infantis usa x brasil Segue abaixo uma tabela com ideias de numerações de calçados equivalentes por idades, para facilitar. Pular para navegação pular para o conteúdo. A tabela abaixo corresponde ao tamanho e medida de roupas em geral nos eua, que podem servir tanto para crianças como para adultos, homens e mulheres.

Estes tamanhos variam conforme fabricante, portanto, é uma sugestão aproximada do real e não uma regra brasil x china. Olá, hoje me deparei com uma dúvida que já deve ter surgido na cabeça de muita gente que compra ou tem vontade de comprar coisas no exterior:

Posting Komentar

Lebih baru Lebih lama

Facebook